487款纯电动客车将免征车辆购置税
发布时间:2016年11月29日 10:43 来源:工信部网站
2016年11月25日,完美作业网有免费视频从工信部网站获悉,工信部公布《免征车辆购置税的新能源汽车车型目录》(第九批),共有1102款车型进入目录,其中487款纯电动客车进入目录。以下为公告原文:
中华人民共和国工业和信息化部国家税务总局公告
2016年第61号
为促进我国交通能源战略转型、推进生态文明建设、支持新能源汽车产业发展,根据《财政部 国家税务总局 工业和信息化部关于免征新能源汽车车辆购置税的公告》(公告2014年第53号)的要求,工业和信息化部会同国家税务总局等部门对企业提交的申请材料进行了审查。现将《免征车辆购置税的新能源汽车车型目录》(第九批)予以公告。
工业和信息化部
国家税务总局
2016年11月24日
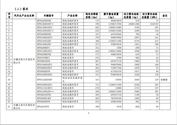
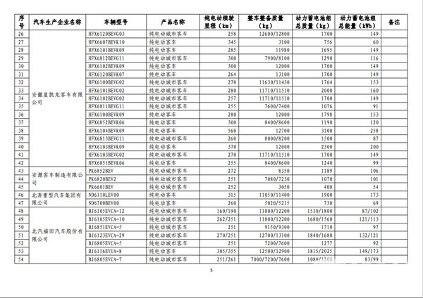
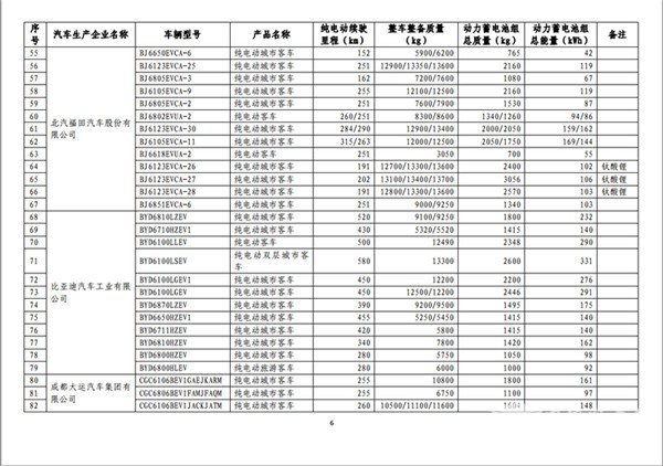
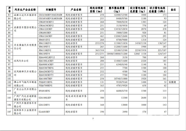
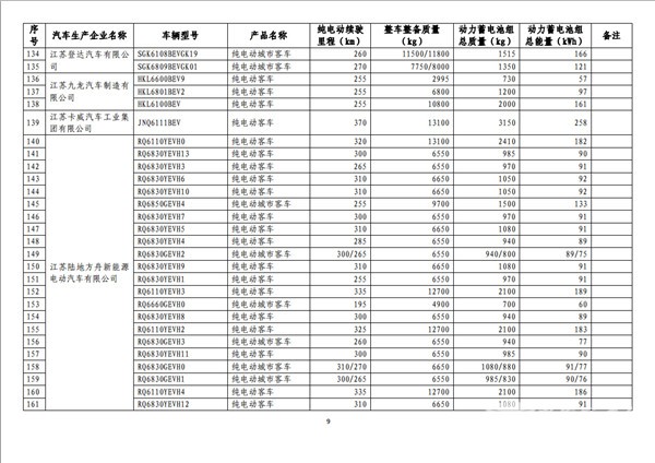
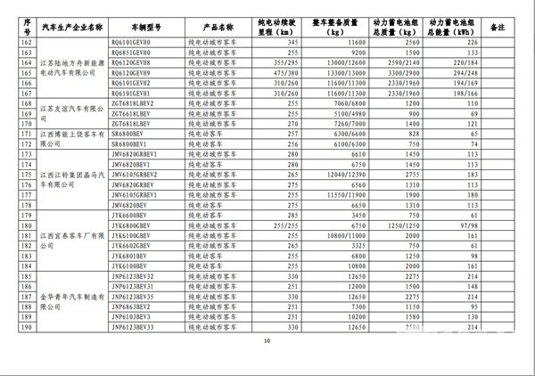
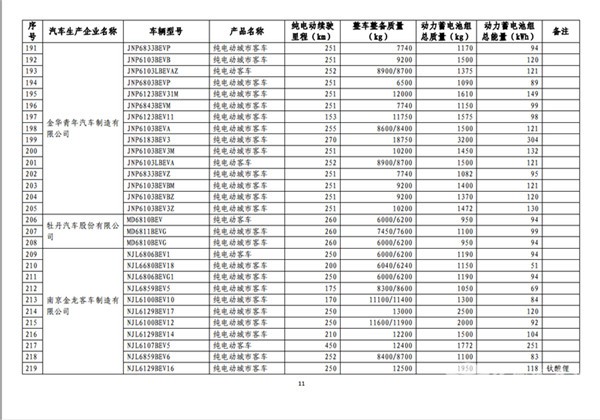
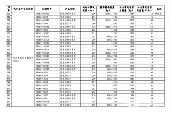
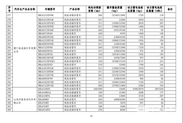
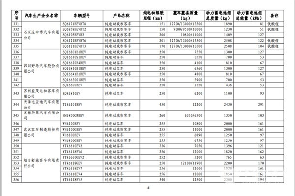
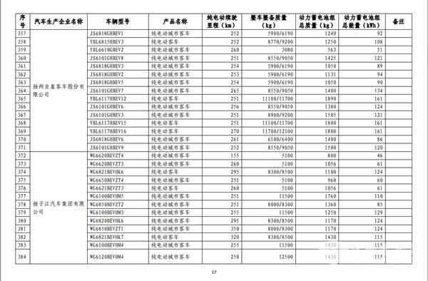
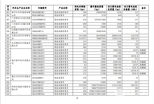
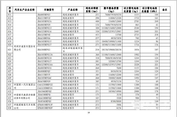
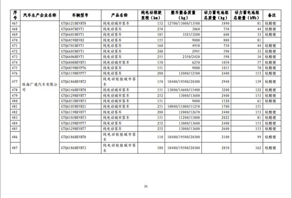
客车目录如下:


















链接:/policy/2016/1129/article_75567.html
完美作业网有免费视频推荐阅读
完美作业网有免费视频[www.937ktuf.com]版权及免责声明:
1、凡本网注明“来源:www.937ktuf.com” 的所有作品,版权均属于完美作业网有免费视频,未经本网授权,任何单位及个人不得转载、摘编或以其它方式使用上述作品。已经本网授权使用作品的,应在授权范围内使用,并注明“来源:www.937ktuf.com”。违反上述声明者,本网将追究其相关法律责任。
2、凡本网注明 “来源:XXX(非完美作业网有免费视频)” 的作品,均转载自其它媒体,转载目的在于传递更多信息,并不代表本网赞同其观点和对其真实性负责。
3、如因作品内容、版权和其它问题需要同本网联系的,请在30日内进行。
※ 有关作品版权事宜请联系:copyright#chinabuses.com
1、凡本网注明“来源:www.937ktuf.com” 的所有作品,版权均属于完美作业网有免费视频,未经本网授权,任何单位及个人不得转载、摘编或以其它方式使用上述作品。已经本网授权使用作品的,应在授权范围内使用,并注明“来源:www.937ktuf.com”。违反上述声明者,本网将追究其相关法律责任。
2、凡本网注明 “来源:XXX(非完美作业网有免费视频)” 的作品,均转载自其它媒体,转载目的在于传递更多信息,并不代表本网赞同其观点和对其真实性负责。
3、如因作品内容、版权和其它问题需要同本网联系的,请在30日内进行。
※ 有关作品版权事宜请联系:copyright#chinabuses.com
热点新闻
- 每辆补贴4.2-8万元!新能源城市公交及动力电池更新补贴标准出台[09-26]
- 交通运输部:全力做好2024年中秋国庆假期交通运输服务保障[09-13]
- 12城入围!交通部印发2024年城市公交优先发展和绿色出行典型案例[09-13]
- 交通运输部修订印发《汽车客运站安全生产规范》[09-12]
- 六部门组织开展2024年绿色出行宣传月和公交出行宣传周活动[09-06]
- 工信部等八部门:做好老旧新能源城市公交车辆动力电池更换工作[08-21]
- 行业观察|国务院审议通过《城市公共交通条例》将为行业带来哪些利好?[08-20]
- 政策解读|交通部印发《农村客货邮运营服务指南(试行)》的通知[08-16]
品牌推荐
更多>>